§ 25.341 Gust and turbulence loads.

(a) Discrete Gust Design Criteria. The airplane is assumed to be subjected to symmetrical vertical and lateral gusts in level flight. Limit gust loads must be determined in accordance with the provisions:

(1) Loads on each part of the structure must be determined by dynamic analysis. The analysis must take into account unsteady aerodynamic characteristics and all significant structural degrees of freedom including rigid body motions.

(2) The shape of the gust must be:

for 0 ≤s ≤2H where— s = distance penetrated into the gust (feet); Uds = the design gust velocity in equivalent airspeed specified in paragraph (a)(4) of this section; and H = the gust gradient which is the distance (feet) parallel to the airplane's flight path for the gust to reach its peak velocity.

(3) A sufficient number of gust gradient distances in the range 30 feet to 350 feet must be investigated to find the critical response for each load quantity.

(4) The design gust velocity must be:

where— Uref = the reference gust velocity in equivalent airspeed defined in paragraph (a)(5) of this section. Fg = the flight profile alleviation factor defined in paragraph (a)(6) of this section.

(5) The following reference gust velocities apply:

(i) At airplane speeds between VB and VC: Positive and negative gusts with reference gust velocities of 56.0 ft/sec EAS must be considered at sea level. The reference gust velocity may be reduced linearly from 56.0 ft/sec EAS at sea level to 44.0 ft/sec EAS at 15,000 feet. The reference gust velocity may be further reduced linearly from 44.0 ft/sec EAS at 15,000 feet to 20.86 ft/sec EAS at 60,000 feet.

(ii) At the airplane design speed VD: The reference gust velocity must be 0.5 times the value obtained under § 25.341(a)(5)(i).

(6) The flight profile alleviation factor, Fg, must be increased linearly from the sea level value to a value of 1.0 at the maximum operating altitude defined in § 25.1527. At sea level, the flight profile alleviation factor is determined by the following equation:

Zmo = Maximum operating altitude defined in § 25.1527 (feet).

(7) When a stability augmentation system is included in the analysis, the effect of any significant system nonlinearities should be accounted for when deriving limit loads from limit gust conditions.

(b) Continuous turbulence design criteria. The dynamic response of the airplane to vertical and lateral continuous turbulence must be taken into account. The dynamic analysis must take into account unsteady aerodynamic characteristics and all significant structural degrees of freedom including rigid body motions. The limit loads must be determined for all critical altitudes, weights, and weight distributions as specified in § 25.321(b), and all critical speeds within the ranges indicated in § 25.341(b)(3).

(1) Except as provided in paragraphs (b)(4) and (5) of this section, the following equation must be used:

PL = PL−1g ± UσA Where— PL = limit load; PL−1g = steady 1g load for the condition; A = ratio of root-mean-square incremental load for the condition to root-mean-square turbulence velocity; and Uσ = limit turbulence intensity in true airspeed, specified in paragraph (b)(3) of this section.

(2) Values of A must be determined according to the following formula:

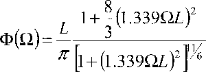
Where— H(Ω) = the frequency response function, determined by dynamic analysis, that relates the loads in the aircraft structure to the atmospheric turbulence; and Φ(Ω) = normalized power spectral density of atmospheric turbulence given by— Where— Ω = reduced frequency, radians per foot; and L = scale of turbulence = 2,500 ft.

(3) The limit turbulence intensities, Uσ, in feet per second true airspeed required for compliance with this paragraph are—

(i) At airplane speeds between VB and VC:

Uσ = Uσref Fg Where— Uσref is the reference turbulence intensity that varies linearly with altitude from 90 fps (TAS) at sea level to 79 fps (TAS) at 24,000 feet and is then constant at 79 fps (TAS) up to the altitude of 60,000 feet. Fg is the flight profile alleviation factor defined in paragraph (a)(6) of this section;

(ii) At speed VD: Uσ is equal to 1/2 the values obtained under paragraph (b)(3)(i) of this section.

(iii) At speeds between VC and VD: Uσ is equal to a value obtained by linear interpolation.

(iv) At all speeds, both positive and negative incremental loads due to continuous turbulence must be considered.

(4) When an automatic system affecting the dynamic response of the airplane is included in the analysis, the effects of system non-linearities on loads at the limit load level must be taken into account in a realistic or conservative manner.

(5) If necessary for the assessment of loads on airplanes with significant non-linearities, it must be assumed that the turbulence field has a root-mean-square velocity equal to 40 percent of the Uσ values specified in paragraph (b)(3) of this section. The value of limit load is that load with the same probability of exceedance in the turbulence field as AUσ of the same load quantity in a linear approximated model.

(c) Supplementary gust conditions for wing-mounted engines. For airplanes equipped with wing-mounted engines, the engine mounts, pylons, and wing supporting structure must be designed for the maximum response at the nacelle center of gravity derived from the following dynamic gust conditions applied to the airplane:

(1) A discrete gust determined in accordance with § 25.341(a) at each angle normal to the flight path, and separately,

(2) A pair of discrete gusts, one vertical and one lateral. The length of each of these gusts must be independently tuned to the maximum response in accordance with § 25.341(a). The penetration of the airplane in the combined gust field and the phasing of the vertical and lateral component gusts must be established to develop the maximum response to the gust pair. In the absence of a more rational analysis, the following formula must be used for each of the maximum engine loads in all six degrees of freedom:

Where— PL = limit load; PL-1g = steady 1g load for the condition; LV = peak incremental response load due to a vertical gust according to § 25.341(a); and LL = peak incremental response load due to a lateral gust according to § 25.341(a). [Doc. No. 27902, 61 FR 5221, Feb. 9, 1996; 61 FR 9533, Mar. 8, 1996; Doc. No. FAA-2013-0142; 79 FR 73467, Dec. 11, 2014; Amdt. 25-141, 80 FR 4762, Jan. 29, 2015; 80 FR 6435, Feb. 5, 2015]