§ 25.562 Emergency landing dynamic conditions.

(a) The seat and restraint system in the airplane must be designed as prescribed in this section to protect each occupant during an emergency landing condition when—

(1) Proper use is made of seats, safety belts, and shoulder harnesses provided for in the design; and

(2) The occupant is exposed to loads resulting from the conditions prescribed in this section.

(b) Each seat type design approved for crew or passenger occupancy during takeoff and landing must successfully complete dynamic tests or be demonstrated by rational analysis based on dynamic tests of a similar type seat, in accordance with each of the following emergency landing conditions. The tests must be conducted with an occupant simulated by a 170-pound anthropomorphic test dummy, as defined by 49 CFR Part 572, Subpart B, or its equivalent, sitting in the normal upright position.

(1) A change in downward vertical velocity (Δ v) of not less than 35 feet per second, with the airplane's longitudinal axis canted downward 30 degrees with respect to the horizontal plane and with the wings level. Peak floor deceleration must occur in not more than 0.08 seconds after impact and must reach a minimum of 14g.

(2) A change in forward longitudinal velocity (Δ v) of not less than 44 feet per second, with the airplane's longitudinal axis horizontal and yawed 10 degrees either right or left, whichever would cause the greatest likelihood of the upper torso restraint system (where installed) moving off the occupant's shoulder, and with the wings level. Peak floor deceleration must occur in not more than 0.09 seconds after impact and must reach a minimum of 16g. Where floor rails or floor fittings are used to attach the seating devices to the test fixture, the rails or fittings must be misaligned with respect to the adjacent set of rails or fittings by at least 10 degrees vertically (i.e., out of Parallel) with one rolled 10 degrees.

(c) The following performance measures must not be exceeded during the dynamic tests conducted in accordance with paragraph (b) of this section:

(1) Where upper torso straps are used for crewmembers, tension loads in individual straps must not exceed 1,750 pounds. If dual straps are used for restraining the upper torso, the total strap tension loads must not exceed 2,000 pounds.

(2) The maximum compressive load measured between the pelvis and the lumbar column of the anthropomorphic dummy must not exceed 1,500 pounds.

(3) The upper torso restraint straps (where installed) must remain on the occupant's shoulder during the impact.

(4) The lap safety belt must remain on the occupant's pelvis during the impact.

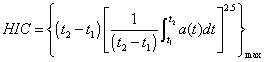
(5) Each occupant must be protected from serious head injury under the conditions prescribed in paragraph (b) of this section. Where head contact with seats or other structure can occur, protection must be provided so that the head impact does not exceed a Head Injury Criterion (HIC) of 1,000 units. The level of HIC is defined by the equation:

Where: t1 is the initial integration time, t2 is the final integration time, and a(t) is the total acceleration vs. time curve for the head strike, and where (t) is in seconds, and (a) is in units of gravity (g).

(6) Where leg injuries may result from contact with seats or other structure, protection must be provided to prevent axially compressive loads exceeding 2,250 pounds in each femur.

(7) The seat must remain attached at all points of attachment, although the structure may have yielded.

(8) Seats must not yield under the tests specified in paragraphs (b)(1) and (b)(2) of this section to the extent they would impede rapid evacuation of the airplane occupants.

[Amdt. 25-64, 53 FR 17646, May 17, 1988]